普陀金茂府-普陀金茂府欢迎您-普陀金茂府首页网站-楼盘详情 /价格/户型

抚州楼市发布 2024-04-19 16:51:44
用手机看
扫描到手机,新闻随时看

扫一扫,用手机看文章
更加方便分享给朋友

普陀金茂府三期 售楼处电话:400-1788-336

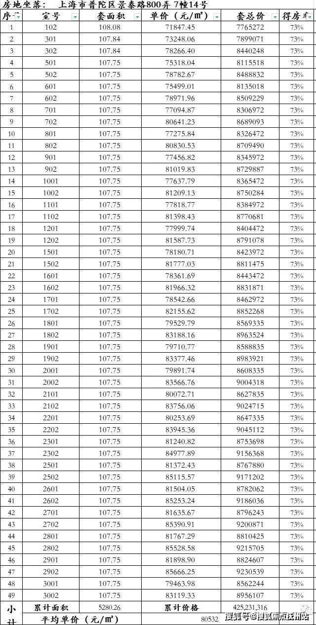
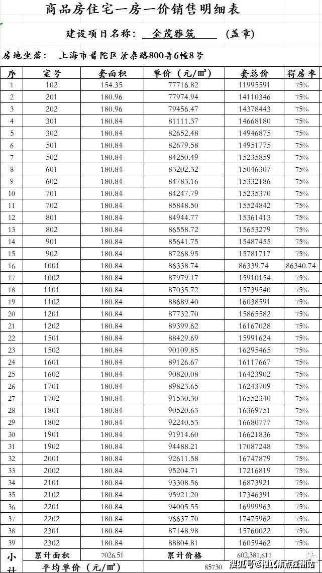
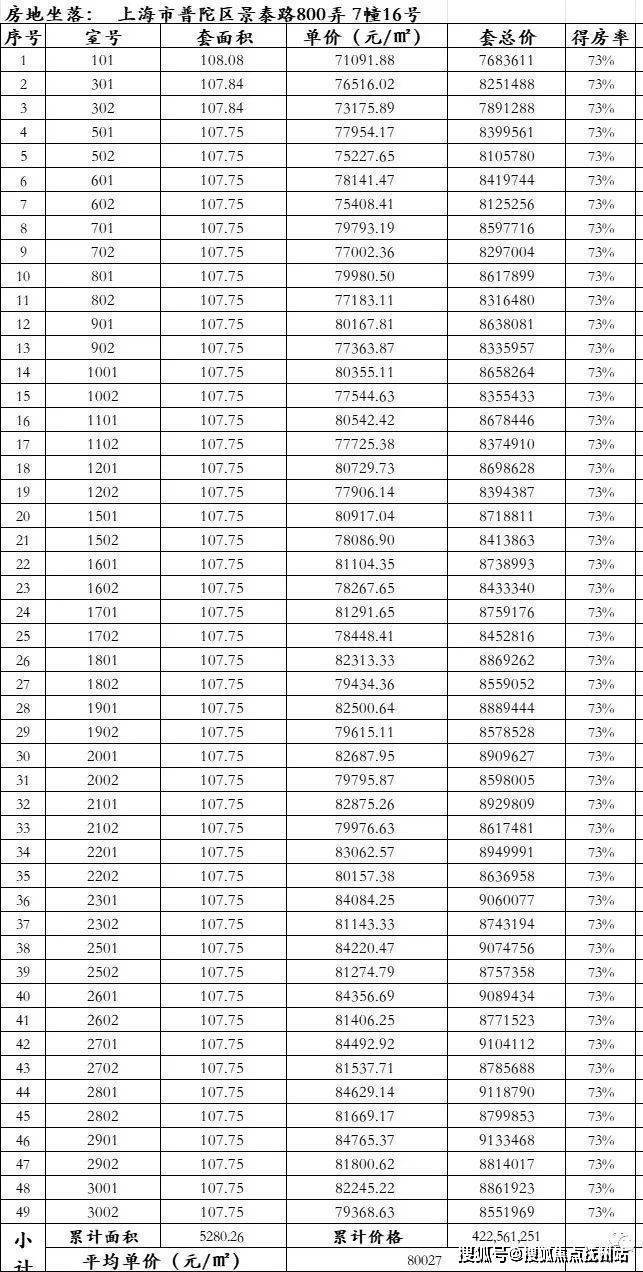
普陀金茂府三期售楼处电话:400-1788-336中环旁、未来多轨交,桃浦智创城核心约100万方中央绿地在侧,全新户式科技系统+超低能耗住宅普陀金茂府三期 售楼处电话:400-1788-336建面约107-180㎡3-4房过会均价83340元/m²项目即将清盘,少量房源在售,无需积分,看中直购

普陀金茂府三期

售楼处电话:400-1788-336

案场限流 看房需提前来电预约登记

请务必致电与销售确认时间,仅预约客户可进入销售现场,感谢您的支持

项目效果图

项目三期将推出6#、7#楼,共137套房源,产品为建面约107㎡3房(98套)、154m²非标户型(1套)、180㎡4房(38套)。本期房源也是项目的收官房源,错过只能去二手掏了。

普陀金茂府三期

售楼处电话:400-1788-336

案场限流 看房需提前来电预约登记

请务必致电与销售确认时间,仅预约客户可进入销售现场,感谢您的支持

户型图赏鉴

从“居者有其屋”到“居者优其屋”,随着人们的居住理念和生活形态逐渐升级,越是高品质的户内空间打造,越将成为罕见臻品。

普陀金茂府建面约180㎡户型改善稀缺产品,不仅是整个项目的收官藏品,也是整个智创城稀缺之作,不仅值得入手,更是 错过难再有,最后38席大户型产品,中环内稀缺科技住宅重磅登场,以傲居小区正“C”位的王者姿态,敬献城市高端品质人居,值得竞藏!

项目承袭了金茂品质基因,在空间全面运维、FREE+科技系统,打造专属的5衡人居体验,普陀金茂府在所有的户型设计上,空间感都相当“强劲”,堪称高定户型空间。

五开间朝南的全明通透,四房两厅三卫,双主卧设计,舒适起居大享不同,使得其居住感相当阔绰,为生活增添更多情景体验。

在精巧铺排上 ,LDKB客餐厅一体化设计,大尺度横厅尽享阔景生活;动线合理的基础之上,户型格局方正,赋予生活幸福美感。

四房的大尺度,在这个户型图中就更体现的淋漓尽致了,南向大开间!整体的采光度、尺度感堪比别墅! 双套房+独立玄关,尽享大平层的归家仪式感,保障业主生活于此的私密性和尊贵感!

(收官加推楼栋6#)

普陀金茂府 建面约180㎡6#楼稀贵大平层位于小区正中央。位置为王,坐享小区中央景观轴;视野为王,超大景观视野,可直面桃浦中央绿地。开阔的景观与视野让这个户型成为未来所有桃浦人,梦想中的大宅。

对于普陀金茂府的业主而言,未来推窗就能看到这座上海更加庞大且独具特色的生态绿肺!而这样的窗外风景,决定普陀金茂府建面约180㎡户型独一无二的价值。

普陀金茂府7# 爆款三房建面约107㎡,可称之为三房界的“六边形战士”,不止源于科技产品、大师的审美、整体的格调、奢华的选材,更源自无数细节的创造,和埋入这些细节里的极致用心。

作为懂居住需求的作品,建面约107㎡户型在整个户型功能性与舒适度上做到了极致,空间利用率高, 打造3房2厅2卫,集LDBK一体化、玄关入户、动静分区设计、U型厨房、双卧飘窗、强大收纳等多重优势,非常适合改善型置业需求。

(收官加推楼栋7#)

7#楼位于小区中轴位,地理位置极佳,同时放眼上海楼市的主流三房产品中,同时拥有如此占据约100万方桃浦中央绿地首排、科技人居5“衡”生活体验、精致的设计细节和合理的空间格局、以及PARK IN新东方主义实景园林景观的产品几乎没有。

契合现代家庭需求,不浪费每一寸空间;建面约107㎡户型在全屋区域内,根据主人的生活动线、生活需求的不同 主次卧+客厅三开间朝南,方正格局,功能区域分布清晰,动线灵活,没有廊道空间的浪费,充分利用每一寸室内空间。

高标装配

真正的设计,就在于如何将不同品牌,各具个性的品牌合理地组合,将好看与好用发挥到极致。

项目 采用的是大金、博世、唯宝、高仪等知名品牌,再高端的品牌,能真正提升生活品质的才是值得选择的。

(样板房实景图)

大金U系列新一代新风系统、空调地暖两联供系统,氟空调与水地暖的科技共融,让室内冷热高效稳定,运行的新风系统向全屋各房间输送净化后的新鲜空气的同时,持续排出室内污染空气,让清新鲜氧充盈整个生活空间。

国际品牌弗兰卡的抽拉式高抛龙头,双出水方式,单手开关,切换方便,还能360°无死角清洁。

站在普陀金茂府的样板间,用发现美的眼睛,静下心来感受,你会发现,整个空间和谐而又独具风格,仿佛每一个空间,每一个房子,都是量身定制的,是只属于未来的你的。

在当今房地产时代,舍得花更多的时间和精力,愿意投入更多的成本,能够沉下心来打磨产品的企业并不多,金茂是一个。

土拍回顾及规划

2022年7月,金茂以352880万元竞得普陀区桃浦科技智慧城(W06-1401单元)026-01地块,成交楼板价43656元/㎡,溢价率8.9%, 房地联动价83000元/㎡!

地块四至范围:东至绿松路,西至景泰路,南至桃菊路,北至古浪路

根据规划方案显示,项目 拟建11幢14-26层高层,按照出让合同内容显示,中小套型不少于70%, 可售总户数607套

项目保障房建在地块的东北角,为16层,其余均是商品住宅,西低东高布局,为了更好地观景中央绿地。其中地块最西侧,为三栋14层的小高层,其他楼栋都在20-26层之间。

规划设计图如下:

【万景入园 安泰自得】普陀金茂府为上海带来归心之作

如果说,落子桃浦智创城,是金茂又一次前瞻性读地能力的展现,那么普陀金茂府的规划建设,则是金茂品质实力的匠心呈献。

普陀金茂府位于约100万方桃浦中央绿地首排,坐拥城市不可多得的自然景观资源。桃浦中央绿地,由设计过美国纽约高线公园、英国伦敦奥林匹克公园的国际设计团队规划建造,建成后将成为上海中心城区最大的开放式公共绿地,赏景游玩皆可。(数据来源:公众号上海普陀-《【非凡十年】桃浦十年脱胎换骨,打造上海转型“新地标”)

(效果图)

优秀的景观设计不仅仅是从居住区内部创造优秀的景观,而且要尽量利用场地周边优秀的景观资源。金茂上海公司设计管理部副总工程师张辰佳总向大家展示了金茂府的建筑规划,并在解读中提出,一座金茂府,就是一种居住理想生活。

占据中央绿地首排的普陀金茂府,将对标纽约中央公园、伦敦海德公园周边知名的国际公园豪宅,打破社区与公园的边界,让社区景观空间与中央绿地相融,构造“微度假”公园社区,整体呈现大花园、大视野、大间距、绿量大等特点。

(效果图)

普陀金茂府三期

售楼处电话:400-1788-336

案场限流 看房需提前来电预约登记

请务必致电与销售确认时间,仅预约客户可进入销售现场,感谢您的支持

在社区规划上,作为纯品质住宅社区,金茂以世界公园住区为设计蓝本,营造普陀金茂府具有国际生活质感的社区环境,与紧邻的桃浦中央公园的开放式生活场景形成互补,

普陀金茂府社区规划更注重业主的私属性,从入口花园、礼仪水轴、活力秀场、宅间花园、到双迎宾大堂,都从业主需求角度出发,打造内外双公园的生态生活闭环。

在建筑品质上,匹配智创国际生态社区高建筑品质要求,同时对标国际潮流的极简公建化立面设计,严选优质精工石材、优雅铝板、大面积玻璃重构城市天际线,呈现符合上海国际都市审美品位,让普陀金茂府同时兼顾建筑的匠心质感和艺术美感。

在科技人居上,普陀金茂府采用超低耗能建筑,打造集先进科技及品质精工于一体的优质生活空间,每户配备独立的新风系统、空调和地暖,以先进的绿色低碳技术打造知冷暖的人居空间。

在社区服务上,金茂服务是业内知名高端物业之一,荣获2022 年度服务标杆企业、2022高端物业服务力TOP10企业第一名等殊荣……在金茂上海已交付的社区中,金茂服务也广受业主的好评。(信息来源:金茂服务官网)

项目于去年10月底开工,正在如火如荼的建设中, 施工名牌显示竣工时间为2024年11月。

生活配套

交通方面:项目在未来将迎来4轨环绕, 距离11号线祁连山路地铁站直线1.2公里、11号线从嘉定到迪士尼横跨整个上海,快速通达真如、徐家汇、徐汇滨江、前滩等上海重要商圈。

距离26号线常和路站直线300米(规划)。

距离15号线鼓浪路站约2公里,串联上海主城重要国际生活圈,直达长风公园、古北、古美等高品质商圈,坐拥国际风尚生活。

桃浦智创城还规划有20号线地铁线(已公示,信息来源:上海市人民政府网站)

自驾,中环高速、外环高速、沪嘉高速贯穿城市动脉。

普陀金茂府三期

售楼处电话:400-1788-336

案场限流 看房需提前来电预约登记

请务必致电与销售确认时间,仅预约客户可进入销售现场,感谢您的支持

商业方面:项目除了所在的智慧城自身打造的商业外,距离静安大融城(约5.2公里)、南翔印象城(约7.6公里)、环球港(约9公里)、大华虎城嘉年华(约4.3公里)、百联中环购物广场(约6.1公里)。

教育方面:项目距离上海安生学校(原上海托马斯实验学校)(约0.87公里)、上外附属普陀实验学校(约1.2公里)、上海市晋元高级中学(约3.6公里)、同济大学(沪西校区)(约1.7公里)、上海儿童世界基金会普陀幼儿园(约0.78公里)、桃浦智创城还规划有多块基础教育用地(信息来源:上海市普陀区桃浦智慧科学城控制性详细规划修编)

医疗方面:项目距离上海德济医院(约1.5km)、上海天佑医院(约3km)、上海市儿童医院(沪西院区)(约9km)、普陀区妇婴保健医院(约8.3km),桃浦智创城还规划有医疗中心用地(信息来源:上海市普陀区桃浦智慧科学城控制性详细规划修编)

生态休闲:生态是桃浦的立身之本,生态贯穿了整个区域。

尤其是中央的桃浦中央绿地,其体量和能级甚至超越了上海城芯其余四座已经成熟的公园绿地。

因为曾经是墨水厂、药水厂,所以现在桃浦对生态有执念。硬是挖出一个生态峡谷。北三块的中央绿地以“静”为主,侧重打造自然山谷林地(绿地已建成开放)。

遍布成片绿植和成网水系,会同瞭望塔、3D打印桥、古浪路上的山景风采地面隧道及模拟书法水墨动态递进的铺装搭配,成为桃浦生态的鲜明记忆点。

南部二期工程则以“动”为主,侧重打造一个掩映在绿色生态之下的城市体育文化休闲空间。地上景观和地下空间的自然融合是这块绿地的最大亮点。

桃浦中央绿地二期效果图

山坡里隐藏着篮球馆、真冰溜冰场、游泳馆、文化休闲等各类公共场所。整体建成后,从绿地外围及周边楼宇看过去,是成片的大绿地,而当游人步入绿地的下沉空间,绿色的山水间则呈现出丰富多彩的体育文化空间。

桃浦中央绿地二期效果图

桃浦中央绿地二期效果图

普陀金茂府三期售楼处电话:400-1788-336中环旁、未来多轨交,桃浦智创城核心约100万方中央绿地在侧,全新户式科技系统+超低能耗住宅普陀金茂府三期 售楼处电话:400-1788-336建面约107-180㎡3-4房过会均价83340元/m²项目即将清盘,少量房源在售,无需积分,看中直购

普陀金茂府三期

售楼处电话:400-1788-336

案场限流 看房需提前来电预约登记

请务必致电与销售确认时间,仅预约客户可进入销售现场,感谢您的支持

声明:本文由入驻焦点开放平台的作者撰写,除焦点官方账号外,观点仅代表作者本人,不代表焦点立场。